半導体製造における Agilent トリプル四重極 ICP-MS の機能を紹介するシリーズの最初の記事では、超純水、過酸化水素、鉱酸などの水系プロセス化学薬品の性能データを紹介しました。この記事では、半導体構成の Agilent 8900 ICP-QQQ またはその先行モデルである Agilent 8800 ICP-QQQ を用いた、有機化学薬品および試薬中の溶解汚染物質と異物粒子の多元素測定について説明します。
有機プロセス化学薬品の多元素分析
有機試薬は IC 製造の多くの処理段階で使用されます。以下に例を示します。
- 洗浄:イソプロピルアルコール(IPA)、N-メチルピロリドン(NMP)、メタノール、酢酸ブチル(BuAc)
- 開発:プロピレングリコールモノメチルエーテル(PGME)、プロピレングリコールメチルエーテルアセテート(PGMEA)、乳酸エチル、NMP、テトラメチル水酸化アンモニウム(TMAH)
- エッチング:ジメチルスルホキシド(DMSO)およびモノエタノールアミン(MEA)
有機溶媒の処理
一部の有機化学薬品は水溶性ですが、サンプルを希釈せずに分析するほうがよいことがよくあります。これは汚染のリスクを最小限に減らし、できるだけ低い検出下限(DL)を達成できるようにするためです。ICP-MS は、水溶性と非水溶性のいずれの有機サンプルの直接分析にも適しています。非水溶性有機物質は、直接分析することも、キシレンやトルエンなどの適切な溶媒で希釈して分析することもできます。希釈には外部の標準溶液を使用できます。ただし、サンプル粘度の違いにより噴霧化にばらつきが出るため、半導体産業ではキャリブレーションに標準添加法(MSA)がよく使用されます。
有機サンプルの分析には、特にサンプル導入とプラズマ設定に、いくつかの特定の ICP-MS ハードウェアおよび使用条件が必要です。8900 #200 ICP-QQQ は半導体アプリケーション用に設計されているため、耐溶媒のサンプル導入システムが含まれます。構成は次のとおりです。
- PFA MicroFlow ネブライザ(流量:200 mL/min)
- 石英製のScott型ダブルパススプレーチャンバとペルチェ冷却(–5~+20 ℃)
- 石英製トーチ(シールドトーチシステムを含む)と内径 2.5 mm インジェクタ
- 白金製インタフェースコーン
- 高透過率 s-レンズ
また 8900 には、5 個目のマスフローコントローラ(MFC)も含まれます。これは、酸素をキャリアガスに添加してサンプリングコーンへの炭素堆積を防ぐのに最適です。サンプルの特性に基づいて、その他のサンプル導入オプションを使用できます。例えば非常に揮発性が高い溶媒には、次のトーチを推奨します。
- オプションの「有機」石英製トーチ、内径 1.5 mm のインジェクタ付き(内径 1.0 mm のインジェクタ付きトーチも使用可)
溶解汚染物質と異物粒子の分析
Agilent ICP-MS および ICP-QQQ システムは、高速・高感度のナノ粒子(NP)分析と溶解した元素の定量を行い、半導体ラボに総合的な分析ソリューションを提供します。図 1 に示すように、Agilent ICP-MS MassHunter ソフトウェアリビジョン 5.2 以降では、単一粒子(SP)ICP-MS メソッドを設定して、各サンプルの NP に含まれる実質的に無制限の数の分析対象物をモニタリングできます。さまざまな NP 元素が、それぞれ最適な条件下で逐次的に測定されます。
次の概要は、高純度有機試薬に関連する幅広いアプリケーションと、試薬の多元素 NP 分析の新たなニーズを示しています。サンプル、試薬、装置の動作設定、メソッド条件については、リンクから参照してください。
自動標準添加 ICP-QQQ メソッドによる IPA の分析
IPA は半導体製造における重要な有機溶媒で、シリコンウエハの表面から有機および金属残留物や不純物を除去するのに使用されます。この研究では、イアス(日本、東京)の自動標準液添加装置(ASAS)と 8900 ICP-QQQ を用いて、IPA 中の微量元素不純物をオンライン標準添加で定量しました。このメソッドでは、高度なスキルを持たない分析者でも、IPA 中の超微量レベルの不純物を正確かつ確実に定量できます。
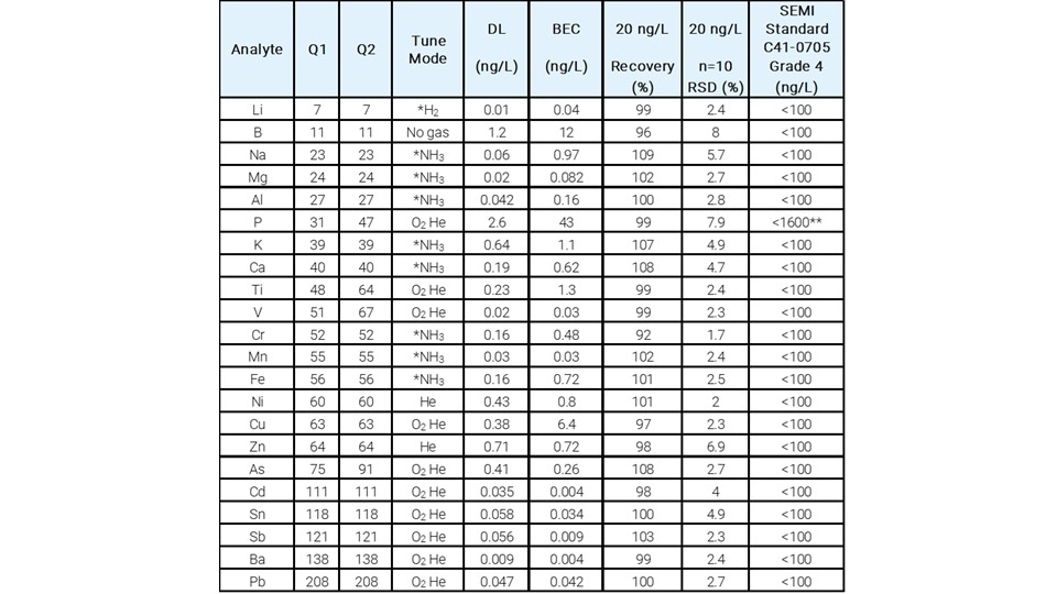
ICP-QQQ には希釈していない高純度 IPA サンプルを導入して、汚染のリスクを最小限に減らし、できるだけ低い検出下限(DL)を達成できるようにしました。分析に必要なキャリブレーション(およびスパイク)溶液はすべて、ASAS によって自動的に前処理され、オンラインで添加されました。0、5、10、20、50 ppt のスパイク濃度で、IPA サンプルに添加しました。複数のリアクションセルガス(He、H2、O2、NH3)を、47 種類の分析対象物のマルチチューンメソッドの一部として使用しました。各モードのデータは、サンプルごとに自動的に 1 つのレポートにまとめられました。
希釈していない IPA 中の 47 種類の元素の DL とバックグラウンド相当濃度(BEC)を、表 1a と表 b に示します。DL は、(スパイクされていない)IPA ブランクサンプルを 10 回繰り返し測定し、その標準偏差を 3 倍して求めました。SEMI の対象となる 22 種類の全元素(表 1a)の DL と BEC が、グレード 4 の要件である 100 ppt 未満であり、多くが 0.1 ppt 未満でした。これらの結果は、半導体製造で将来的に求められる高い化学純度に、8900 ICP-QQQ が十分に対応できることを示しています。


通常の最適な同位体 (Cu-63) を使用して測定した Cu の BEC は、6.4 ppt という予想外に高い数値となりました。この結果を、二次同位体である 65Cu で測定した BEC と比較したところ、2 つの濃度測定結果が一致しました。これは、63Cu で BEC 値が高かった原因が、63Cu への干渉ではなく、IPA サンプル内の微量な Cu 汚染にあったことを示しています。
すべての元素が 20 ppt レベルで優れた添加回収率と再現性も示していることから、自動 ASAS メソッドが半導体有機プロセス化学薬品のルーチン分析に適していることがわかります。
図 2 のとおり、MS/MS モードと H2 セルガスで動作する 8900 ICP-QQQ を使用した場合、P の BEC は 7.7 ppt とさらに低くなりました。この結果が最初に報告されたのは Agilent ICP-MS ジャーナル第 78 号です。
半導体グレードの NMP 中に溶解した汚染物質や異物粒子の超微量分析
半導体産業では、ウエハの洗浄とフォトレジストの剥離に、溶解特性が強い電子グレードの NMP が広く使用されています。この包括的な研究では、8900 ICP-QQQ を使用して、富士フイルム和光純薬株式会社から提供された EL(エレクトロニクス産業用)および SP(最高純度)グレードの NMP サンプル中の溶解汚染物質および NP を測定しました。SEMI C33-0213 にリストされている 22 元素すべてを含む 54 種類の溶解した元素の濃度を、MSA を使用して定量化しました。
半導体メーカーと化学薬品サプライヤは、NMP などの試薬に含まれる、回路の欠陥やデバイスの故障を引き起こす可能性がある異物粒子(特に NP などの金属粒子)も制御する必要があります。NP は、原材料および処理装置から入り込む可能性があります。
可能性のある異物粒子を同定するための初期のスクリーニング取り込みに続いて、spICP-MS モードの 8900 を使用して、2 つのグレードの NMP に含まれる 14 元素をはじめとする粒子を測定するために、多元素 NP メソッドの設定を行いました。図 3 は、2 つのサンプルで測定された粒子中に検出された元素のサイズ分布を示しています。SP グレードのサンプルでは粒子数がはるかに少なく、大きな粒子が存在しないことから、この高品質の試薬の純度がはるかに高いことが確認できます。
NMP 中の硫黄、リン、ケイ素、塩素の微量分析のスペクトル干渉の克服
ICP-QQQ はよく、NMP 中の非金属不純物、硫黄、リン、ケイ素、塩素の測定などの非常に困難なアプリケーションにおいて、Agilent 7900s ICP-MS などのシングル四重極よりも優先的に使用されます。
この研究では、これらの分析困難な不純物を 8800 ICP-QQQ で測定するためのメソッド開発の一部を説明します。これらの元素はイオン化効率が低いため、分析対象物の信号が大幅に減少します。一方、NMP マトリックスから形成される N、O、C 由来の多原子イオンにより、(干渉補正なしの BEC として測定される)バックグラウンド信号が上昇するため、微量分析がさらに難しくなります(表 2 を参照)。表 2 の ICP-QQQ の BEC と DL は、マスシフトメソッドを使用して達成した BEC です。Cl 以外のすべての分析対象物に、酸素セルガスを使用しました。Cl 以外のすべての分析対象物の検出下限は、中~低 ppt の範囲でした。Cl の制限要因は、イオン化の程度が非常に低いことですが、それでも低い ppb 検出下限を得ることができました。ルーチン分析では、自動メソッドを設定して、サンプルバイアルを 1 回操作するだけですべての分析対象物を測定できます。

20 % の超高純度メタノール中のケイ素、リン、硫黄を ICP-QQQ で測定する方法の詳細については、別のホワイトペーパーをご覧ください。このホワイトペーパーには、これら 3 種類の各元素の測定に使用される最適化された MS/MS 設定情報の概要が含まれます。
TMAH 中の Ag、Fe3O4、Al2O3、Au、および SiO2 NP の特性解析
TMAH は IC のフォトリソグラフィプロセスにおけるフォトレジストの現像で広く使用される塩基性溶媒です。この研究では、spICP-QQQ モードの 8900 を使用して、半導体グレードの TMAH 中の Ag、Fe3O4、Al2O3、Au、SiO2 を含む多元素 NP を測定しました。
ブランク TMAH と、NP をスパイクした TMAH 溶液を多元素 spICP-MS メソッドで測定しました。図 4 は 1 % TMAH 中の各元素の NP の粒径分布をまとめたものです。青色のヒストグラムは、スパイクされていない TMAH ブランクに存在する NP を示しています。緑色のヒストグラムは、スパイクされた TMAH 溶液中に存在する NP を示しています。結果のとおり、5 種類すべての NP がそれぞれ検出され、すべてを混合した TMAH でさえも各粒子を検出できました。多元素 spICP-MS メソッドを使用して、大きい粒子(例:200 nm SiO2)が存在する場合でも、より小さい粒子(例:30 nm Fe3O4)を優れた真度で明確に測定することができます。
有機溶媒の低粒子濃度溶液中の Fe3O4 NP の測定
集積回路(IC)の製造中に使用される試薬から生じる金属 NP(特に Fe 由来の NP)により、ウエハ表面に「コーン状欠陥」が発生する可能性があります。これが電気信号が短くなる原因になります。この研究では、アジレントのアプリケーションエンジニアと業界の科学者が、一般的に使用されている 3 種類の有機溶媒(IPA、PGMEA、BuAc)に含まれる 25~30 nm の Fe3O4 NP を、spICP-MS モードの Agilent 8900 ICP-QQQ で測定できるかどうかを調査しました。図 5 のとおり、各溶媒に 5 ppt で添加した 30 nm の Fe NP により生成される信号は、バックグラウンド信号から明確に分離されました。また、平均粒径はすべての添加溶媒で 30 nm 前後となり、Fe NP の公称直径(30 nm)と一致していました。またこの研究により、非常に低濃度(0.1~2 ppt)の Fe NP が含まれる IPA 溶液で、spICP-MS モードで動作する 8900 ICP-QQQ を使用して、25 nm の Fe NP を測定できることがわかりました。
この少し後の研究では、spICP-MS モードの 8900 ICP-QQQ で、IPA、PGMEA、プロピレングリコールモノメチルエーテル(PGME)に添加した 15 nm の Fe2O3 NP(Sigma Aldrich)を測定できました。
ウエハの分析、ガス、高度な半導体アプリケーションに特化
Agilent 8900 ICP-QQQ は低バックグラウンド、高感度、効果的なスペクトル干渉制御という特長を備えているため、有機試薬中の溶解含有物と粒子状含有物の両方を高性能で分析できます。次号の ICP-MS ジャーナルでは、ウエハ、ガス、その他の最先端の成分における ICP-QQQ の画期的な役割について説明します。
詳しくはこちら:
- アプリケーション総覧: Measuring Inorganic Impurities in Semiconductor Manufacturing(半導体製造における無機不純物の測定)
- ICP-MS/MS による N-メチル-2-ピロリドン(NMP)の元素および粒子の分析
- spICP-QQQ による半導体プロセス試薬の多元素ナノ粒子分析
DE-007672





